Article
Pharmaceutical Technology Europe
Pharmaceutical Technology Europe
Author(s):
This article describes a method for assessing the similarity of dissolution profiles using Hotelling's T2 statistic. The method applies a covariance structure that accounts for the heterogeneity of variance and correlation across time points. Comparing the method with the f2 criterion recommended in FDA's guidance on dissolution testing, the performance of the two methods was assessed on real examples, and simulation studies were also done to compare the method's performance with that of the f2 criterion.
In today's drug development industry, establishing the similarity of dissolution profiles is a regulatory requirement. To derive meaningful conclusions, current practice evaluates the entire dissolution profile, compared with the earlier approach that used one time point (for example, the time required for 90% drug dissolution for both reference and test product).
The US Food and Drug Administration's (FDA's) guidance for industry on dissolution testing of immediate-release, solid, oral dosage forms1 describes the model-independent mathematical approach proposed by Moore and Flanner2 for calculating a dissimilarity factor (f1) and a similarity factor (f2) of dissolution across a suitable time interval. The similarity factor f2 (where 0<f2<100 and f2>50%, dissolution profiles are defined as similar) is a function of the mean differences and does not take into account the differences in dissolution within the test and reference batches. Hence, careful interpretation is warranted when f2 is used as a similarity factor with a large difference in variances between the two profiles.
Previous articles have discussed the more serious deficiencies of using the f
2
factor for assessing the similarity between two profiles. One of the major drawbacks identified was finding the sampling distribution of the statistic. This statistic has complicated properties, and deriving the distribution of the statistic is not mathematically tractable. Shah et al. proposed a bootstrap method to simulate a confidence interval for the f
2
factor.
3
Because the f
2
is sensitive to the measurements obtained after either the test or reference batch has dissolved more than 85%, Shah and co-workers recommended a limit of one sampling time point after 85% dissolution.
Several other authors have discussed defining criteria for dissolution similarity using model-dependent as well as model-independent approaches. For example, Tsong proposed modelling profiles for individual tablets, and establishing specifications for similarity based on joint confidence regions for level and shape parameters of both reference and test batches.4 The disadvantage of this approach is that such regions are hard to interpret and shrink as a function of the amount of reference material tested. Sathe et al. also discussed a model-dependent approach using Mahalanobis distance,5 and Chow and colleagues proposed dissolution difference measurement and similarity testing based on a time series model in this context.6 However, dissolution data collected for profile comparisons typically have a very limited number of unequally spaced sampling intervals, whereas the intended time series has a large number of equally spaced sampling intervals.
Previously, Gohel and co-workers proposed another model-independent method based on the average absolute value of the log of the ratio of the area under the dissolution curve of both test and reference drugs.7
In the FDA guideline for industry, the procedure (f2 factor) allows the use of mean data and recommends that the per cent coefficient of variation at an earlier time point (for example, 15 min) not be more than 20%, and at other time points not more than 10%. In instances in which the per cent coefficient of variation within a batch is more than 15%, the industry guidelines suggest using a multivariate model-independent procedure.
This article examines the use of a multivariate procedure for testing the equivalence of two dissolution profiles through Hotelling's T2 statistic and compares this procedure with the f2 closeness criterion for different variance-covariance structures through simulation studies for normal and non-normal distributions. The two methods were also compared using real data examples.
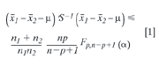
Suppose xij;Np(mj,S), j 5 1,2 and i = 1,2 . . . n are two independent multivariate normal dissolution profiles, one being a reference batch or a prechange batch and the other being a test batch or a postchange batch. Samples were taken at p different time points; n is the number of vessels, either 6 or 12, which is typical for tablet dissolution for a pharmaceutical product. The dissolution time points (p) for both profiles should be the same. Let ¯x1, ¯x2 be the vector of the sample mean for each of the profiles; S is the sample variance -- covariance matrix, and n1, n2 are the number of tablets tested from each batch. To define a closeness of the two dissolution profiles, (12a) 100% confidence region for m
1
-m
2
is considered, assuming the data follow a multivariate normal distribution. The confidence region for m
1
-m
2
(5m) with confidence level 12a is the set of vectors m satisfying

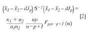
where Fp,n2p11 (a) is the (12a) 100% percentile of the central F distribution with p and n2p11 degrees of freedom and n(5 n11n222) is the within-sample degrees of freedom. Assume m 5 dJp, where Jp is a p dimensional column vector of 1's. The maximum mean difference (d 5 max d) for which the equivalent of two given profiles could be concluded with (12a) 100% confidence given the data are the solution of d to equation 2.

To find a close expression for d, it may be easy to express equation 2 in terms of observed Hotelling's T02 statistic and the non-central F distribution as follows:

where T02 is the observed Hotelling's T2 statistic, that is,

Fp,n2p11,l(a) is the (12a) 100% percentile of the non-central F distribution with p and n2p11 degrees of freedom and non-centrality parameter l, which can be written as

Let

be the solution of l to equation 3 and an unbiased estimate for S21, respectively. A statistical analysis system macro, an iterative root finder for monotonic function, was written to obtain the solution for l of equation 3. Using these estimates the expression for d can be written as follows:

where sum(S21) is the sum of the elements S21. If

(that is, two mean profiles are the same at a% level), then l0 is not estimable and, in this case, d is defined as 0. We define two dissolution profiles to be equivalent if d<d0 and is a prespecified threshold value.
The d depends on the confidence level used for the construction of the procedure; d0 5 6% when a 90% confidence level is used as the threshold for the proposed criterion (see sidebar "d2 is not an unbiased estimate for d2").
The multivariate random samples of size 6 were generated from two distributions: multivariate normal and multivariate T distribution. The mean vectors for the two distributions were chosen at 5, 10, 15, and 20 min following an S-shaped logistic dissolution model of the form

with first order autocorrelation structure, corr(yt,yt2s) 5 rs and different relative standard deviation (RSD) at each time point. The model parameters were Q 5 91.4, b 5 20.21 and t50 5 6.8. The t50 is the time taken to dissolve 50% of the drug content in the tablet. For the non-normal case, multivariate T random vectors of length 4 were generated based on the following method: If y;N4(0,S) and u;x2n are identical independent distributed random variables, then

The x28 random variables were used. In the first trial, 100 experiments for each configuration were simulated from the respective distributions. The number of experiments that failed similar dissolution profiles by f2 and the proposed criteria were calculated. The experiments were repeated for increasing values of Mahalanobis distance

between two profiles. The vector m 5 (d,d,d,d)9 5 dJ4 is the mean difference between the two profiles. Tables I and II and Figure 1 summarize the results.
The above simulation results demonstrate that for normal and non- normal cases, the proposed method was slightly conservative for correlated data, with a higher RSD (>20%) at early time points. In general, the power of the proposed test is higher compared with that of the f2 test for both normal and non-normal data.

Table I: Percentage of experiments rejecting the equivalency of two dissolution profiles from a simulated multivariate normal distribution.
In the second trial, 200 multivariate random samples of size 6 were drawn for each profile with the mean at 5, 10, 15 and 20 min following the above logistic model and correlation structure. The parameters for the two profiles were as follows:

d2 is not an unbiased estimate for d2
Profile 1. Q 5 91.4, b 5 20.21,
t50 5 6.8; m 5 (37.1, 60.5, 77.5, 86.0); RSD 5 (9.3, 5.2, 3.4, 2.8); r 5 0.4
Profile 2. Q 5 93.1, b 5 20.33,
t50 5 8.1; m 5 (24.6, 60.7, 84.4, 91.3); RSD 5 (14.1, 5.2, 3.1, 2.7); r 5 0.4
The two criteria were applied to the 200 experiments for two distributions, multivariate normal and multivariate T distributions. The percentages of experiments that the two criteria classify as equivalent dissolution profiles for multivariate normal distribution were 99.5% and 52% for f2 and the proposed criteria, respectively. For the multivariate T distribution, the percentages were 97.5% and 49%, respectively. In fact, the profiles were defined as significantly different. Therefore, these results demonstrate that the f2 criterion misclassified almost all the experiments, whereas the proposed criterion misclassified only 52% and 49% for normal and T distributions, respectively. These results also show that the similarity factor f2 is insensitive to the shape of the dissolution curve and is designed to measure the closeness of the two curves. Figure 2 shows the graphs of the two profiles.

Table II: Percentage of experiments rejecting the equivalency of two dissolution profiles from a simulated multivariate T distribution.
The performance of the two methods on real data examples was demonstrated by choosing five pairs of similar dissolution profiles (same formulation of two batches) and five pairs of different dissolution profiles. Two different procedures were used. Tables III and IV summarize the results.

Figure 1: Percentage of rejections of similar dissolution profiles versus the distance between the two profiles for two simulated distributions.
This paper proposes a method of establishing multivariate equivalence for comparing in vitro dissolution profiles and compared this method with the fit factor (f
2
) recommended in FDA's guidance for industry. The advantages of the proposed method are simplicity and the incorporation of sampling time variability (not product-related) that accounts for the correlation structure on the data into the procedure, which is ignored by the calculation of the f
2
factor. An additional advantage of the proposed method is handling different sample sizes other than the sample size (12 tablets) recommended in the FDA guidelines. The simulation studies show that the proposed criterion discriminates different dissolution profiles correctly with a lower misclassification error rate than that of the f
2
criterion. The proposed method assumes that the dissolution data are multivariate normal. This is a reasonable assumption for the dissolution data of uniform tablets, but the simulated results presented on a non-normal distribution showed that the method is robust if the normal assumption is violated. This study shows that a 6% critical value would be a reasonable threshold, and it maintains a Type I error rate below 10% for the proposed method compared with the 50% critical value for the f
2
criterion.

Figure 2: Simulated dissolution profiles (logistic model).
1. Guidance for Industry, "Dissolution Testing of Immediate Release Solid Oral Dosage Forms," US Food and Drug Administration (FDA), 5600 Fishers Lane, Rockville, Maryland 20857, USA (August 1997).
2. J.W. Moore and H.H. Flanner, "Mathematical Comparison of Dissolution Profiles," Pharm. Technol. 20(6), 64-74 (1996).
3. V.P. Shah et al., "In Vitro Dissolution Profile Comparison - Statistics and Analysis of the Similarity Factor f2," Pharm. Res. 15(6), 889-896 (1998).

Table III: Classification of similar dissolution profiles by two approaches for five real examples.
4. Y. Tsong, T. Hammerstrom and J.J. Chen, "Multipoint Dissolution Specification and Acceptance Sampling Rule Based on Profile Modelling and Principal Component Analysis," J. Biopharm. Statist. 7(3), 423-439 (1997).
5. P. Sathe, Y. Tsong and V.P. Shah, "In Vitro Dissolution Profiles Comparison: Statistics and Analysis, Model-Dependent Approach," Pharm. Res. 13(12), 1799-1803 (1996).
6. S.C. Chow and F.Y.C. Ki, "Statistical Comparison Between Dissolution Profiles of Drug Products," J. Biopharm. Statist. 7(30), 241-258 (1997).

Table IV: Classification of dissimilar dissolution profiles by two approaches for five real examples.
7. M.C. Gohel and M.K. Panchal, "Comparison of In Vitro Dissolution Profiles Using a Novel Model-Independent Approach," Pharm. Technol. 23(3), 92-102 (2000).
Get the essential updates shaping the future of pharma manufacturing and compliance—subscribe today to Pharmaceutical Technology and never miss a breakthrough.