
- Pharmaceutical Technology-03-02-2017
- Volume 41
- Issue 3
An Investigation of the Anomeric Stability of Lactose Powder Stored Under High Stress Conditions
This study investigated the stability of solid lactose stored under high temperature and humidity conditions.
Lactose has two anomeric forms: α- and β-lactose. This study investigated the stability of solid lactose stored under high temperature and humidity conditions. Commercially available samples of α-lactose monohydrate (98% w/w α; 2% w/w β) and β-lactose (84 % w/w β; 16 % w/w α) were stored at 40 °C and 93% ± 3% relative humidity (RH) for up to one week and analyzed using proton nuclear magnetic resonance. The data show that the storage conditions can change the anomeric content and potentially affect the functionality of lactose as a pharmaceutical excipient.
Lactose is a widely used excipient in the formulations of many pharmaceutical products because of its inherent qualities, such as low cost, high stability, low hygroscopicity, and compatibility with a wide range of active ingredients (1-4). Lactose can, for instance, serve as a diluent that is added to active ingredients to regulate tablet size, flow, cohesion, weight, and compressibility (1). It is a common excipient used, for example, within formulations contained in hard-shell capsules. Most dry powder inhaler powder mixtures also contain lactose as a carrier to increase the flowability of drug particles and regulate dosing accuracy (5, 6).
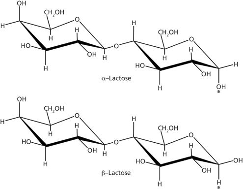
Lactose is a disaccharide that can exist in solid form as α-lactose and β-lactose anomers. The anomers result from a mechanism known as mutarotation, where the orientation of a hydrogen and a hydroxyl group changes on a specific carbon atom as a consequence of carbon-carbon bond breaking, rotation, and bond re-formation (see Figure 1) (1, 7, 8). As a pharmaceutical powder product, α-lactose monohydrate refers to a powder that is comprised primarily of pure α-lactose crystals, containing only minor concentrations of β-lactose, and has water integrated as a hydrate in its crystal structure (water content â5% w/w). In contrast, commercial β-lactose products contain a higher concentration of the β anomer (approximately 80% w/w) and are often referred to as “anhydrous” lactose due to the fact that the β-lactose is present in the anhydrous form (9). It has been shown that lactose can exist in a co-crystal form that can be used to enhance the physiochemical properties of the API (10).
Most of the lactose used in medicines is primarily α-lactose monohydrate. β-lactose, however, has pharmaceutical applications as a filler or binder in the direct compression stage of tablet production (11). The efficiency of drug-delivery systems containing lactose (such as tablets and dry powder inhalers) can be greatly affected by the anomeric composition of the lactose used, including variation in terms of flowability and moisture adsorption (3, 9, 12). β-lactose-containing tablets are less brittle than those containing α-lactose monohydrate products and exhibit better compaction properties, which decrease the brittleness by making the tablets harder (13). When crystalline α-lactose monohydrate has a fraction of amorphous material present, typically found on the surface of processed particles, this amorphous region could potentially contain a mixture of both α and β anomers. As a result of a different chemical composition, the disordered regions will be expected to interact differently with a drug than the crystalline and more stable α-lactose monohydrate present in the product (14). Furthermore, because such amorphous content can crystallize rapidly at room temperature when the water activity is above approximately 0.5% w/w (14), differences in the crystalline α and β anomer ratio may be observed as a result of the generation of amorphous content followed by re-crystallization. For example, ball milling under ambient conditions has been shown to induce a 15% w/w conversion of the α-anomer to the β-anomer due to the presence of moisture in the air (15).
The stability of lactose must be investigated to ensure that lactose-containing products are being stored appropriately such that the same anomeric content is maintained throughout the shelf-life of the formulation. The anomeric composition of a lactose sample can be successfully determined using a novel nuclear magnetic resonance (NMR) method, as recently reported (1).
The aim of the present study was to determine the stability of solid lactose under high-stress conditions by NMR analysis. Commercial samples of lactose were exposed to high humidity conditions at 40 °C for up to one week and the α- and β-content monitored as a function of time. The International Council for Harmonization of Technical Requirements for Pharmaceuticals for Human Use (ICH) guidelines state that general stability tests should be carried out at 40 ± 2 °C and at a relative humidity (RH) of 75 ± 5% RH (16). In this study, the temperature during the incubation period was set at 40 °C; however, the RH during the incubation was maintained at 93% RH (greater than the conditions outlined in the ICH guidelines). This approach was carried out to investigate the extreme conditions that could affect the stability of the anomeric content of the lactose samples. Such conditions may occur during the bulk transport of the excipient across the world even if the final drug product is used and stored according to manufacturer’s specification. Differential scanning calorimetry (DSC) was employed to determine the hydrate form of the resultant lactose samples after the incubation period.
Materials and methods
H1 NMR analysis. Dimethyl sulphoxide (DMSO) -d6 99.9At% + 0.05% tetramethyl saline (TMS) (%v/v) was acquired from Goss Scientific Instruments and used as the solvent for the NMR samples. Aliquots were transferred to a 400 MHz Wilmad NMR tube (Sigma). DMSO solution (0.7 mL) was added to the sample and the lactose dissolved approximately 10 min prior to analysis using a 400 MHz NMR (Bruker Avance); the experiment was completed within 10 min. The NMR analysis was conducted using a Quattro nucleus probe (QNP) including 16 scans and a zg30 sequence, where a 30° pulse was applied prior to acquisition. TMS (appears at 0 ppm) in the DMSO was used as a reference to compare the chemical shifts. The method and the analysis of the resulting spectra from each NMR experiment were based on those outlined in previous studies (1). The anomeric composition was obtained by comparing the ratio of the integrated α and β peaks using the Bruker Topspin software for NMR spectral data analysis (1, 15).
Calibration. The available lactose powders were mixed in different ratios and analyzed by NMR to create a calibration graph showing the correlation between the changes in anomeric ratio of lactose and the different mixtures of α-lactose monohydrate and β-lactose. Mixtures of 1:4, 1:3, 1:1, 3:1, and 4:1 of α-lactose monohydrate:β-lactose were used in this experiment. The amounts of lactose powders corresponding to these mixture ratios were weighed directly into NMR tubes and, after dissolution, analyzed by the above method.
Stability study. An environmental temperature of 40 °C and 93% RH was established in a temperature-controlled incubator (Gallenkamp, Wiess Technik). The humidity was maintained by introducing an open reservoir containing an excess of purified water into the incubator. Conditions within the incubator were monitored continuously using a thermometer/hygrometer (TraceAble, Fischer Scientific).
After equilibration of the environmental conditions, approximately 300 mg samples of commercial α-lactose monohydrate (Sigma) and β-lactose (ACROS organic) were placed in aluminium weighing boats (QBI Consumables) within the incubator (middle shelf). Aliquots of lactose powder (3-4 mg) were removed from each sample, immediately prior to the start of the experiment, and these were designated the time-zero samples. On days 1, 2, 3, 4, 5, and 7, further aliquots were removed from each weighing boat for analysis by NMR. Care was taken to ensure that the removed portions comprised powder representative of the entire powder bed.
Differential scanning calorimetry (DSC). An automated DSC (TA instruments, Elstree) was used to analyze the lactose samples, as received and then after the incubation period. Three to four milligrams of β-lactose was weighed into a hermetic DSC pan using a Sartorious balance and covered with a DSC lid with a pinhole. The pans were then sealed and placed in the automator prior to the start of the experiment. In brief, the run program involved: equilibration at 25 °C, ramp up to 160 °C at 10 °C/min, equilibration at 160 °C and a hold phase for 1 min, followed by a ramp down to 25 °C at 10 °C/min, and re-equilibration at 25 °C.
Results
H1 NMR analysis and calibration. Figure 2 is an example of an NMR spectrum of α-lactose monohydrate powder, containing an insert of the region of interest 6-7 ppm where the α and β proton peaks occur, on a larger scale. The α and β protons are the most deshielded atoms in the lactose molecule because of their position with respect to a neighboring electronegative oxygen atom. The distance between the α proton and the oxygen atom is also greater than the distance between the β proton and oxygen atom. Therefore, the respective protons exist in slightly different chemical environments, which also accounts for the α and β protons of the α-lactose monohydrate sample appearing as two separate peaks found in the farthest region (6.2-6.7 ppm) (1).
Because of the nature of the NMR experiment, the α and β peaks appear split depending on the number of adjacent hydrogen atoms (referred to as n). Peaks are split by n + 1; therefore, in this case, both peaks are split into doublets as a consequence of the adjacency of one hydrogen atom. The relative intensities of the integrated α- and β-proton peaks were calculated and the anomeric content was determined for α-lactose monohydrate and β lactose at day zero (n=5). The purchased sample of α-lactose monohydrate was found to contain 98% ± 0.16% w/w α-lactose and 2% ± 0.16% w/w β-lactose. In contrast, the sample of β-lactose powder contained 16% w/w α- lactose and 84% w/w β-lactose, with the standard deviation being 0.29%.
Different mixtures of lactose powders (α-lactose monohydrate and β-lactose) were analyzed by NMR to generate the calibration graph shown in Figure 3. Five percent of the weight of α-lactose is water and approximately 20% w/w of the β-lactose powder is known to be α-lactose (11); thus, the calculated value for the percentage of the α anomer was determined using the Equation 1:
The weight of the water present in lactose was determined using thermogravimetric analysis (TGA). The weight loss corresponding to the water loss detected by TGA was 4.97 ± 0.34% w/w (n=3). The α anomer content present in the β-lactose was found to be 16.3 ± 0.22% w/w by NMR. Using these data, the calculated α anomer composition was determined and used as the independent (x) axis. The NMR data derived from the mixtures of lactose samples were plotted as the abscissa values. As shown in Figure 3, the R2 value (0.992) is strongly indicative of the linearity of the NMR analysis.
Stability study. Constant temperature and relative humidity were maintained during the seven-day experiment (Figure 4); the values upon daily monitoring being 40.0 ± 0.5 °C and 93 ± 0.7% RH (with an instrument accuracy of ± 3%).The β-lactose sample changed markedly in composition as a function of time. The original sample, which contained 16% w/w α-lactose and 84% w/w β-lactose was transformed and after seven-day storage, was found to comprise 48.5% w/w α-lactose and 51.5% w/w β-lactose (Figures 5 and 6). The increase in α-lactose content was found to be a (R2 = 0.97) linear function of time (slope 4.7%/day).
In contrast, the composition of the α-lactose monohydrate sample did not change throughout the seven-day storage period (Figure 5). The mean α-lactose anomer content during storage of the sample was 98.4 ± 0.15%. The R2 value was 0.53 indicating that the data points were randomly distributed around the mean, suggesting a small variation due to the NMR experimental procedure.
DSC. The thermogram in Figure 7 comprises an overlap of representative curves for α-lactose monohydrate, β-lactose, and β-lactose after storage at high temperature and RH conditions. α-lactose monohydrate exhibits a peak that corresponds to water loss at 140-160 °C, and this peak is represented by the blue trace in Figure 7.
β-lactose did not exhibit any peaks in this region as expected because of the absence of the hydrate present in α-lactose monohydrate. The incubated β-lactose sample presented a peak that overlaps with the α-lactose monohydrate water-loss peak at 140-160 °C. The weight of α-lactose monohydrate (n=6), β-lactose (n=6), and β-lactose after incubation at high temperature and RH conditions (n=6) over seven days was measured before and after the DSC experiments and the weight loss was calculated to be 5 ± 0.4% w/w, 0.1% ± 0.1% w/w, and 3.6 ± 0.4% w/w, respectively.
Discussion
It is well known that amorphous lactose is an unstable form of lactose that changes into the more stable crystalline lactose, and some of the conditions that affect this process have been identified (17). In previous studies, however, there have been misidentified changes in the anomeric composition of specific samples of lactose that have been incorrectly described as polymorphic changes (18, 19). In addition, the monitoring of the anomeric interconversion of lactose and the presence of different forms during compression have also been neglected; issues with caking could be minimized if such aspects were investigated (19).
The aim of this study was to investigate the effects of high temperature and humidity conditions on the anomeric composition of lactose powders, using H1 NMR. This method requires the solid lactose samples to be dissolved in solutions of DMSO prior to analysis. It is important to establish that mutarotation within these solutions is minimized for the length of the NMR experiment (1, 7, 20). Previous work by the authors has shown that mutarotation of lactose is inhibited for up to 20 min in DMSO due to the aprotic characteristics of the solvent (1). Accordingly, all spectra were derived within this timeframe. The analysis carried out has allowed the unambiguous determination of the anomeric content of lactose samples before and after storage under high stress conditions (21).
In this study, the anomeric content of α-lactose has been shown to be stable even when stored under such extreme ambient conditions, when water sorption might be expected to occur (12). It has been reported previously that, in solution, the anomeric content of lactose equilibrates at approximately 37% α-lactose : 63% β-lactose (1, 7). Moreover, a study by Lefort et al. using non-crystalline lactose suggested that the anomeric ratio equilibrium in solid state is different from the equilibrium that occurs in solution, for example, when heated (up to 160 C) samples of solid amorphous lactose were found to undergo mutarotation and equilibrate at 50% α-lactose : 50% β-lactose (22). In the same study, crystalline lactose was shown not to display mutarotation (22), but these experiments were conducted under low and uncontrolled humidity conditions.
The current study established that the α-lactose sample maintained its original anomeric content under the predetermined extreme conditions, whereas the β-lactose did not. Initially, it was assumed that there would be no change in composition of either sample, as lactose powders have been previously considered chemically stable (11). The hypothesis to account for the transformation that occurred in β-lactose is that the water vapor in the immediate surroundings of the lactose sample condensed and pooled on the surface of the powder mass, thereby creating a saturated solution, which resides on the particles’ surface. In this saturated solution, the anomeric composition would be expected to approach the equilibrium state observed in aqueous solution.
The proposed mechanism is that β-lactose present in the saturated solution is converted to α-lactose, which in turn recrystallizes into the α-lactose monohydrate form. The removal of the α-lactose from the solution present in the surface “pools” induces more β-lactose conversion within this solution to the α-lactose form to approach and maintain the equilibrium. This mechanism, catalyzed by the storage conditions, might be expected to continue until an equilibrium between the two anomers is established, which is representative of the ratio found in solution.
The data show, interestingly, that β-lactose content reached a %w/w of ~50%, which is significantly lower than the β-lactose content at equilibrium in solution at 40 °C that was reported by Jawad et al. to be approximately 63% (1, 7). The aqueous solubility of α-lactose monohydrate is significantly less than the β-lactose form, and hence more β-lactose would be expected to dissolve and convert to α-lactose than the obverse, resulting in a powder with a higher solid-state concentration of the α-lactose anomer.
DSC analyses of lactose samples were carried out in support of this hypothesis. The thermogram of α-lactose monohydrate was found to exhibit a water-loss peak at approximately 140 °C, as reported previously in literature (23). This characteristic peak was used to determine whether β-lactose converts to α-lactose monohydrate or anhydrous α-lactose. According to the DSC analysis, the incubated β-lactose sample produced an endothermic peak that is indicative of water loss from α-lactose monohydrate. The peak shape was also not as sharp as that obtained from the α-lactose monohydrate, but this observation might have been attributable to the differences in the packing of the powder within the DSC pans. This non-uniform packing might have been expected to induce water loss in a less uniform fashion than for the α-lactose monohydrate sample. Additionally, the calculated % weight loss in the incubated β-lactose is indicative of water loss from that proportion of the β-anomer that has been converted to α-lactose monohydrate. Therefore, these findings appear to support the original hypothesis that β-lactose is converted to the α anomer, which in turn interacts with the surrounding humidity to form more crystalline α-lactose monohydrate. Such results concur with those reported previously, where semi amorphous mixtures containing both α-lactose and β-lactose showed an increase in the formation of α-lactose monohydrate with increasing RH (24).
The consequence of such a hypothesis is that, at the point when equilibrium might have been expected to have been established in solution (i.e., at 63% β anomer : 37% α anomer), some of the α anomer in solution may have been converted to the crystalline (solid) hydrate. This conversion might hinder the equilibration process and result in the situation where the β anomer continues to undergo mutarotation, resulting in a higher α content than expected (see Equations 2 and 3). Alternatively, the interaction of lactose with water resulted in a saturated solution where the β lactose content, which was changing to α-lactose, remained constant through the dissolution of more β lactose. The reaction would, therefore, appear to follow a pseudo zero-order mechanism (Equation 3), despite zero-order models being applicable to solutions only. The mechanisms are summarized in the equations below:
Proposed mechanism of lactose reaction.
The integrated form of the zero order linear equation.
In the pseudo zero-order rate equation (Equation 3), k is the rate constant, t is time, and [β]ο is the initial concentration of β lactose. Using Equation 3 on the data displayed in Figure 6, the rate constant is 4.7% β-lactose per day and the half-life is 9.1 days. It should be appreciated that equilibrium has not been observed in this study, and thus the kinetics of the reaction may appear to be of zero order before the reaction starts to approach equilibrium. Therefore, the reaction should be referred to “pseudo” zero-order; the half-life quoted is based on the assumption that the reaction follows the proposed mechanism.
Conclusion
The effect of the storage conditions on the anomeric stability of crystalline lactose was investigated by NMR to determine unambiguously the anomeric ratio of two different lactose powders. No significant change in the anomeric content of the α-lactose monohydrate powder was detected. In contrast, samples with a high β-lactose content showed a significant increase in α-lactose content at high-stress conditions. The kinetics of the change in the anomeric content of β-lactose, where β-lactose was converted to the α anomer, resembles a “pseudo” zero-order kinetic model with a half-life (t1/2) of 9.1 days. In addition, the results from DSC experiments supported the hypothesis that the β-lactose is converted into the monohydrate form of α-lactose, because the thermograms of the β-lactose-containing samples exhibited a sharp water loss peak at a temperature corresponding to that obtained from α-lactose monohydrate powder samples.
It was demonstrated that the conditions under which lactose is stored can greatly change the anomeric ratio that, in turn, might alter the efficiency of its use in the pharmaceutical industry (1, 3, 9, 25). Excipients that are shipped internationally in bulk, may experience exposure to spikes in relative humidity and temperature in transit. Long-term storage of medicines in unsuitable environments (e.g., bathroom cabinets) by the patient may expose lactose-containing products (e.g., dry powder inhalers, capsule, and tablets), which might affect not only the API, but also the lactose used as an excipient. The reproducibility and long-term efficacy of lactose-containing medicines is reliant on maintaining the anomeric content of the lactose therein at a constant ratio (3, 9). Therefore, it is recommended that the anomer composition of lactose should be monitored as a function of time to assess the potential impact on the overall stability of medicinal products.
Future studies will draw upon the practices of the pharmaceutical market/industry and investigate the conditions at which lactose is stored and handled throughout its production and subsequent integration into medicines. Further work and future publications will support and build on the findings reported here, by investigating the epimerization kinetics of lactose over a range of humidities and temperatures.
References
1. R. Jawad et al., Pharm. Res. 29 (2) 511-524 (2012).
2. K.R. Shah et al., Int. J. Pharmaceut. 357 (1-2) 228-234 (2008).
3. M. Jivraj, L.G. Martini, and C.M. Thomson, Pharm. Sci. Technol. Today. 3 (2) 58-63 (2000).
4. Y. Listiohadi et al., Dairy Sci. Technol. 89 (1) 43-67 (2009).
5. Y. Rahimpour and H. Hamishehkar, Adv. Pharm. Bull. 2 (2) 183-187 (2012).
6. M.P. Timsina et al., Int. J. Pharmaceut. 101 (1) 1-13 (1994).
7. R. Jawad et al., Mol. Pharmaceut. 11 (7) 2224-2238 (2014).
8. P.F. Fox et al., Dairy Chemistry and Biochemistry (Springer International Publishing, Switzerland, 2nd ed, (2015), pp. 21-68.
9. H. Larhrib et al., Int. J. Pharmaceut. 191 (1) 1-14 (1999).
10. I. Sovago et al., Molecules 21 (4) 509 (2016).
11. DFE Pharma.
12. R. Price and P.M. Young, J Pharm Sci. 93 (1) 155-164 (2004).
13. M.C. Gohel and P.D. Jogani, J Pharm Pharm Sci. 8 (1) 76-93 (2005).
14. P.M. Young et al., Pharm. Technol. Eur. 18 (10) (2006).
15. J.F. Willart et al., Solid State Communications 132 (10) 693-696 (2004).
16. ICH, Q1A(R2) Stability Testing of New Drug Substances and Products, Step 4 version (2003).
17. G. Buckton, O.C. Chidavaenzi, and F. Koosha, AAPS PharmSciTech. 3 (4) 1-6 (2002).
18. J.H. Kirk, S.E. Dann, and C.G. Blatchford, Int. J. Pharmaceut. 334 (1-2) 103-114 (2007).
19. Y. Listiohadi et al., Int. J. Pharmaceut. 359 (1-2) 123-134 (2008).
20. G. Haase and T.A. Nickerson, J. Dairy Sci. 49 (2) 127-132 (1966).
21. H.S. Ko et al., Bull. Korean Chem. Soc. 26 (12) 2001-2006 (2005).
22. R. Lefort et al., Solid State Communications. 140 (7-8) 329-334 (2006).
23. Á. GombÁs et al., J. Therm. Anal. Cal. 68 (2) 503-510 (2002).
24. I.L. Timmermann, H. Steckel, and M. Trunk, Eur. J. Pharm. Biopharm. 64 (1) 107-114 (2006).
25. N. Drapier-Beche, J. Fanni, and M. Parmentier, J. Dairy Sci. 82 (12) 2558-2563 (1999).
About the Authors
Mohamad J. Altamimi is a forensic analyst, Department of Forensic Evidence and Criminology, UAE, Dubai, Dubai Police HQ, Al Tawar 1. Kim Wolff is professor of addiction science; Gary P. Martin is professor (emeritus) of formulation science; and *Paul G. Royall is lecturer in pharmaceutics, Tel.: +44 (0) 20 748 4369,
* To whom all correspondence should be addressed.
Article Details
Pharmaceutical Technology
Vol. 41, No. 3
March 2017
Pages: 36–45
Citation
When referring to this article, please cite it as M. Altamimi et al., "An Investigation of the Anomeric Stability of Lactose Powder Stored Under High Stress Conditions," Pharmaceutical Technology 41 (3) p. 36–45, 2017.
Articles in this issue
almost 9 years ago
Understanding Containmentalmost 9 years ago
International Trade Issues Threaten Global Pharma Operationsalmost 9 years ago
Oral Delivery of Biologic APIs: The Challenge Continuesalmost 9 years ago
Covering Global Regulations in a Quality Systemalmost 9 years ago
Risk-Based Predictive Stability–An Industry Perspectivealmost 9 years ago
Quality Agreements:Managing Global Relationshipsalmost 9 years ago
Achieving Manufacturing Excellencealmost 9 years ago
GMP Facility Modernization: Opportunities for Successful Implementationalmost 9 years ago
Loading Bench for Cold-Chain ManagementNewsletter
Get the essential updates shaping the future of pharma manufacturing and compliance—subscribe today to Pharmaceutical Technology and never miss a breakthrough.





