News

Article

Pharmaceutical Technology

Pharmaceutical Technology-02-02-2015
Volume39
Issue 2

In-Vivo Release Studies of Levamisole Phosphate and Ivermectin from an Isotropic Medium-Chain Mono and Diglyceride-Based Formulation Following Subcutaneous Injection in Sheep

Author(s):

Formulating an injectable solution containing both hydrophilic and hydrophobic drugs is a challenge.


Submitted: March 4, 2014. Accepted: April 18, 2014.
Authors: Peyami Sari, PhD; Jianguo Sun; Majid Razzak; Ian G. Tucker

Ivermectin is a member of a family of compounds identified as avermectins. It was first marketed by Merck Sharp & Dohme as an antiparasitic agent in 1981, in the form of an injectable formulation at a dose level of 200 µg/kg (1). Ivermectin is highly effective against adult and larval forms of many ovine gastrointestinal and lung nematodes (2) and some ovine ectoparasitic diseases (3).

Levamisole is an imidazothiazole derivative. Used as an anthelmintic, levamisole is effective against numerous gastrointestinal and pulmonary nematodes in a variety of domestic animals (4). Levamisole also has an important use as an immunostimulant (5–6).

The antiparasitic spectrum and efficacy patterns of ivermectin and levamisole phosphate are different (7–8). It has been shown that combination of a short-acting drug (levamisole) with the long-acting anthelmintic (ivermectin) in a solid dosage form provided better parasite control than that achieved from the existing controlled-release treatment when ivermectin-resistant worms were present (9). This finding suggests that an injection containing a combination of ivermectin and levamisole could be useful. However, ivermectin and levamisole phosphate have different physicochemical properties-levamisole phosphate is water soluble whereas ivermectin is soluble in organic solvents, thus creating a challenge for formulation of a combination product.

The pharmacokinetic profiles of ivermectin and levamisole have been studied in different species for more than two decades. Injectable ivermectin is marketed as a non-aqueous solution comprising 60% propylene glycol and 40% glycerol formal (v/v) (10) and an oil-based formulation (11). Injectable levamisole is available as an aqueous solution (water for injection) (6). Several papers report the pharmacokinetic profiles of subcutaneously administered ivermectin (12–23) and levamisole (13, 24–25) in sheep but no reports have been found for the plasma levels of ivermectin and levamisole combinations.

Medium-chain mono and diglyceride (MCMDG) comprises medium-chain mono- and diglycerides of caprylic and caproic acids, and is used as an emulsifier, solubilizer, and nonionic surfactant (26). The solubilities of abamectin (which is structurally similar to ivermectin) and levamisole phosphate were high, particularly in the isotropic system containing medium-chain mono and diglyceride, glycerol formal, and propylene glycol (27). The lipophilic drug resides in hydrocarbon domains while the hydrophilic drug may interact with the hydrophilic regions in monoglyceride-based systems (28), and both drugs are solubilized in the MCMDG-based systems.

The aim of this study was to evaluate in sheep, the target species, the acceptability of a subcutaneous (SC) injection of levamisole and ivermectin in an isotropic MCMDG-based vehicle, and to assess the pharmacokinetics of levamisole and ivermectin from this SC formulation.

Materials and methodsIsotropic MCMDG-based formulation. The MCMDG-based system exhibited low viscosity, solubilized both levamisole phosphate and ivermectin, provided a stable environment for both drugs, and demonstrated relatively prolonged in-vitro release for levamisole phosphate (27, 29–30). On the basis of these findings, the MCMDG-based solution formulation containing both ivermectin (Haimen Pharmaceutical Factory, China) and levamisole phosphate (Ancare, Auckland, New Zealand) was selected for in-vivo evaluation. Levamisole phosphate (13.65 g) and ivermectin (0.5 g) were dissolved with stirring in glyceryl caprylate/caprate (Capmul MCM, Abitec, Columbus, OH, USA)/propylene glycol (PG)/glycerol formal (GF) (Bomac Laboratories, Auckland) (20/20/60 by weight) and adjusted to 100 g with the vehicle. The clear solution was sterilized by filtration (0.22 µm pore size filter) into the sterilized glass vials. The formulation exhibited Newtonian behavior with a viscosity of 50.2 mPa·s at 25 ºC (Brookfield viscometer, Brookfield Engineering Laboratories, Middleboro, MA, USA).

Animals. The study was carried out in healthy adult female sheep (E. Frazian Texcel Cross) weighing between 58–69 kg (n=5). The animal study was approved by Ancare New Zealand Limited Animal Care and Use Committee. The sheep were maintained outdoors on hay, had free access to food and water, and were free to exercise. The animals were monitored continually prior to and throughout the experimental period. The injection site (i.e., the neck region) in each animal was palpated and visually inspected. All sheep were maintained medication-free for four weeks before and during the study.

Dosing and blood sampling. The formulation was administered subcutaneously at a dose rate of 0.04 mL/kg (i.e., 5.5 mg/kg levamisole phosphate, 0.2 mg/kg ivermectin). Dosing was carried out in the morning on the study day using an 18-gauge, 1.5-inch needle in the left region of the neck.

Blood samples (20 mL) were taken at 0, 0.25, 0.5, 1, 2, 3, 6, and 24 hours post-injection and then daily for 1, 2, 3, 6, 9, 15, 21, and 27 days post-injection from the jugular vein of each sheep into vacutainers containing heparin. Samples were centrifuged at 3000 rpm for 15 min, the plasma was removed, then stored at -18 ˚C until analysis.

Analysis of levamisole in plasma. Levamisole phosphate analysis in plasma was conducted by a validated high-performance liquid chromatography (HPLC) method with ultraviolet (UV) detection identical to that described previously (31). Calibration curves were linear over the range of 0.05 to 10 µg/mL with the correlation coefficient >0.999 with no significant curvature (ANOVA, lack of fit P>0.05). The limit of quantitation (LOQ), the lowest point on the standard curve, was 0.05 µg/mL with a relative standard deviation (RSD) of 18.2% (n=6). The maximum coefficients of variation for intraday and interday were 9.1% and 15.0%, respectively at the lowest concentration tested (0.1 µg/mL). Accuracy ranged from 106.0% and 108.0%. The recovery from frozen and thawed plasma samples ranged from 86.3% to 106.0%. The levamisole phosphate assay was comparable with literature reports by Garcia et al. (32) (0.08 µg/mL), Du Preez and Lotter (33) (0.05 µg/mL), and Sahagun et al. (34) (0.016 µg/mL).

Assay of ivermectin in plasma
Ivermectin in plasma was analyzed by a validated HPLC method with fluorescence detection similar to that described previously (31). Calibration curves were linear over the range of 0.25 to 50 ng/mL with the correlation coefficient >0.999 with no significant curvature (analysis of variance [ANOVA], lack of fit P>0.05). The LOQ, the lowest point on the standard curve, was 0.25 ng/mL with a RSD of 17.7% (n=4). The maximum coefficients of variation for intraday and interday were 12.7% and 16.7%, respectively at a concentration of 0.5 ng/mL. Accuracy ranged from 93.2% and 104.8%. The recovery from frozen and thawed plasma samples ranged from 78% to 99%. The assay was comparable with literature reports by Tolan et al. (35) (0.2 ng/mL), Croubels et al. (36) (1.0 ng/mL), Prieto et al. (37) (0.167 ng/mL), and Kitzman et al. (38) (0.2 ng/mL).

Data analysis
The plasma concentration versus time data for each drug from each animal were fitted using Minim 3.0.8 software (University of Otago, Dunedin). The best fitting two-term exponential model was chosen using the Akaike’s Information Criterion (AIC) (39). The elimination rate constant (kel) and the absorption rate constant (kab) were estimated using Minim 3.0.8 software. In assigning the rate constants, terminal slopes from intravenous administration of levamisole (0.47 h-1 for 5 mg/kg or 0.52 h-1 for 7.5 mg/kg) (40) and ivermectin (0.094 day-1 [41] or 0.077 day-1 [19]) were used to differentiate kab and kel. The elimination half-life (t1/2el) and absorption half-life (t1/2ab) were calculated as 0.693/kel and 0.693/kab, respectively. The peak concentration (Cmax) and time to peak concentration (tmax) were read from the concentration-time curve for each animal and dose-normalized. The area under the plasma concentration-time curve (AUC0-t) was estimated by the linear trapezoidal method (Minim 3.0.8 software). The total area under the curve AUC0-∞ was estimated as the sum of AUC0-t and AUCt-∞ and dose-normalized. The area from last time to infinity AUCt-∞ was estimated as Cp/kel where Cp is the plasma concentration at the last time (t). The mean residence time (MRT) (day) (AUMC0-∞/AUC0-∞) was also calculated. The parameters are reported as mean ± standard deviation (SD).

Results
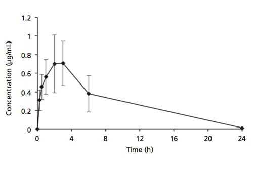
No injection site reactions were observed (visual and palpation). The mean plasma concentration-time curves for levamisole phosphate and ivermectin are shown in Figures 1 and 2, respectively, and pharmacokinetic parameters are reported in Table I for levamisole phosphate and Table II for ivermectin.

Figure 1: Mean concentration–time profile of levamisole phosphate after subcutaneous injection
of isotropic medium-chain mono and diglyceride (MCMDG)-based formulation in sheep (mean±SD, n=5).

 

Figure 2: Mean concentration–time profile for ivermectin after subcutaneous injection of isotropic medium-chain mono and diglyceride (MCMDG)-based formulation in sheep (mean±SD, n=5).

DiscussionDisposition profiles of levamisole. In this study, the animals received a dose of 5.5 mg/kg body weight for levamisole phosphate and a dose of 0.2 mg/kg body weight for ivermectin. McKellar et al. (13), Galtier et al. (24), and Bogan et al. (25) studied the pharmacokinetics of levamisole at a dose of 7.5 mg/kg in the healthy sheep using Worm Guard Injection, Nemisol L15, and Nemicide ICI, respectively. There were no published reports to indicate the compositions of Nemisol L15, Nemicide ICI, and Worm Guard Injection. According to British Pharmacopoeia Veterinary (6), injectable levamisole is available on the market as aqueous solution (water for injection).

Intravenous injection of an aqueous solution of levamisole hydrochloride in six healthy merino sheep showed that the terminal elimination rate constants were 0.47 h-1 for 5 mg/kg and 0.52 h-1 for 7.5 mg/kg (40), which compare reasonably well with a rate constant of 0.25±0.13 h-1 in the present study and reported values (see Table I). Thus the slope (0.25 h-1) of the terminal phase is concluded to represent kel and the other (higher) rate constant in the exponential model was assigned as kab, the absorption rate constant. McKellar et al. (13) and Bogan et al. (25) (see Table I) did not report absorption rate constants nor could they be estimated using Minim 3.0.8 from their reported mean plasma level data because of lack of early data points. However, the higher peaks and shorter tmax found by McKellar et al. (13) and Bogan et al. (25) and the shorter tmax value in the Galtier et al.’s study (24) all support faster absorption of levamisole from the commercial formulations compared to the MCMDG-based formulation used in present study (see Table I).



Parameters
MCMDG-based formulation (n=5)
Nemisol L15, Specia (n=4) (24)
Nemicide (ICI) injection (n=5)
Worm Guard Injection, Smith Kline (n=6)
k (h
0.25±0.13 
0.48
0.26
0.29
t
3.38±1.41 
1.46
2.65
2.37
k (h
0.98±0.31 
1.69
 
 
t
0.77±0.27 
0.41
 
 
C
0.84±0.21 
0.47
2.58
1.41±0.58 
C
0.15±0.04 
0.062
0.34
0.16
t
2.00±0.71 
0.05
1
0.58±0.28 
AUC (μg·h·mL
6.76±2.67 
 
14.1
4.66±1.21 
AUC 
8.87±4.19 
 
14.43
4.80
AUC 
1.61±0.76 
 
1.92
0.64
Mean residence time (h) 
5.81±1.31 
 
5.91
3.56

 

The slower absorption from the MCMDG-based formulation may be due to a change in the formulation at the injection site from a single-phase isotropic system to a two-phase system. For example, it was shown through in-vitro studies that the maximum water content which can be accommodated as a one phase system is 18% (27). Once in tissue, interstitial water may enter the formulation leading to phase separation, and this may be the reason for the slower release of levamisole from the MCMDG-based formulation.

A longer MRT for levamisole was obtained in this study compared to that in the study conducted by McKellar et al. (13) but it is shorter than that estimated for the study performed by Bogan et al. (25). Although the lower Cmax and AUC values were found when compared to the study carried out by Bogan et al. (25), the time over the post-treatment period where the levamisole plasma concentration exceeds the minimal effective concentration (> 0.1 μg/mL (42)) was longer than in the studies conducted by McKellar et al. (13) (8 h) and Galtier et al. (24) (4.5 h). For example, a mean plasma concentration of 0.38 µg/mL for levamisole at the 6-hour post-dose time point in this study was higher than those reported by McKellar et al. (13) (0.15 µg/mL) and Galtier et al. (24) (less than 0.1 µg/mL).

Disposition profile of ivermectin
The animals used in this study and the studies conducted by the authors shown in Table II were injected with ivermectin at a dosage of 0.2 mg/kg body weight. Ivermectin showed very different disposition kinetic profiles compared to levamisole phosphate. Ivermectin is a highly lipophilic drug while levamisole phosphate is a hydrophilic drug. The presence of a lipophilic drug has been reported to have no significant effect on the absorption of a sparingly water-soluble drug, and both drugs were absorbed to their usual extent after intramuscular injection (43). It is evident that ivermectin was absorbed much more slowly than levamisole phosphate based on the rates of absorption of the drugs (see Tables I and II).


Studies
k
t
k
t
C
t
AUC
AUC
MRT (day)
MCMDG- based formu- lation (n=5) 
0.22±0.10 
4.28±3.10 
0.48±0.42 
2.10±1.08 
6.58±2.47 
8.40±4.45 
65.98±17.45 
69.46±13.19 
10.91±5.84 
McKellar et al. (13) (n=6)
0.35
1.97
1.90
0.37
30±11 
1.92±0.35 
101.67±30.42 
102
2.90
Atta and Abo- Shihada (14) (n=5) 
0.10±0.03 
7.02±2.05 
1.26±0.62 
1.21±0.16 
16.30±2.15 
2.60 ± 0.55 
 
281.00±80.80 
5.88±0.41 
Echevarría et al. (15) (n=6) 
0.13±0.03 
5.57±1.25 
0.82b 
0.85±0.62 
24.09±6.57 
2.67 ± 0.52 
 
207.47±46.54 
8.16±0.68 
Cerkvenik et al. (16) (n=6) 
0.33±0.17 
2.85±1.97 
1.26±0.54 
0.73±0.55 
11.88±6.96 
1.70 ± 0.65 
 
63.99±28.34 
5.16±2.84 
Ndong et al. (20) (n=5)
0.29±0.15 
3.04±1.52 
0.71±0.47 
1.55±1.25 
15.17±10.53 
2.75±2.21 
82.11±13.08 
 
5.84±2.80 
Ndong et al. (20) (n=5)
0.45±0.36 
2.27±1.13 
0.97±0.43 
0.90±0.57 
11.74±5.89 
1.88±0.25 
48.66±3.98 
 
4.24±1.50 
El-Banna et al. (22) (n=5) 
0.34±0.04 
2.04±0.16 
1.21±0.11 
0.73±0.04 
19.35±0.66 
1.49±0.13 
 
83.01±4.11 
 
Moreno et al. (23) (n=8)
0.27
2.61±0.77 
1.87
0.37±0.19 
36.70±7.52 
2.00±0.00 
 
121.10±30.70 
 
Moreno et al. (23) (n=8)
0.14
5.07±0.90 
2.57
0.27±0.15 
7.89±0.80 
1.42±0.34 
 
70.80±15.40 
 

 

Following intravenous injection of ivermectin in four healthy Border Leicester Merino ewes (41) and six healthy adult female Merino sheep (19), the elimination rate constants were 0.094 day-1 and 0.077 day-1 respectively. These values are not significantly different from the rate constants in the present study (0.22±0.10 day-1 or 0.48±0.42 day-1), because of the high variability in the parameter estimates. The value of 0.22 day-1 has been tentatively assigned to the elimination rate constant and this assignment is supported by the fact that this value is approximately the same as that in other studies (see Table II). Based on this assignment, the absorption rate from the MCMDG-based formulation was considerably slower compared to the other studies (Table II).

Lo et al. (44) demonstrated that the characteristics of absorption of ivermectin are markedly influenced by the formulation components. In an oil-based formulation of ivermectin, a prolonged absorption half-life and delayed tmax were found compared to the solvent-based formulation (propylene glycol/glycerol formal) (1.48±0.92 days and 4.0±1.41 days versus 0.69±0.30 day and 2.25±0.88 days, respectively) (11). The isotropic MCMDG-based formulation resulted in a longer absorption half-life (2.10±1.08 days) and a delayed tmax (8.40±4.45 days) for ivermectin compared with either the propylene glycol/glycerol formal formulations (see Table II) or oil-based formulation (11).

AUC value obtained in this study falls within the range of AUC values found by the authors stated in Table II. Cmax values reported in the studies shown in Table II were higher than those in this study. On the other hand, a longer tmax and MRT for ivermectin was found in this study compared to those reported by other authors (see Table II). Although the formulation showed lower Cmax and AUC values compared to the studies shown in Table II, the time over the post-treatment period where ivermectin plasma concentration exceeds the minimal effective concentration (11) (>0.5 ng/mL [22 days] or >1 ng/mL [18 days]) was longer than the value obtained from the studies carried out by McKellar et al. (13) (11 days [1.51 ng/mL] or 8 days [0.58 ng/mL]) and Cerkvenik et al. (16) (18.5 or 12.5 days), Ndong et al. (20) (20 or 14.5 days), and El-Banna et al. (22) (10.5 days [>1 ng/mL]).

Conclusion
Subcutaneous injection of an isotropic MCMDG-based formulation containing both levamisole phosphate and ivermectin in sheep resulted in longer tmax and a slower absorption rate for levamisole compared with the commercial levamisole products. The isotropic MCMDG-based formulation retarded the release of levamisole compared with the commercial formulations of levamisole. With respect to ivermectin, the MCMDG-based formulation delayed time to peak-plasma concentration and longer absorption half-life compared with the commercial formulations of ivermectin in sheep, and importantly, increased the time above the minimal effective concentration. The isotropic MCMDG-based formulation, which is able to solubilize both hydrophilic and lipophilic drugs, could represent an alternative to the traditional formulations.

Acknowledgments
The authors would like to thank Ancare New Zealand Limited for supporting animal studies.

References
1. M.S. Tahir, G. Holroyd, and D.B. Copeman, “Treatment of beef calves with ivermectin and avermectin B1 in dry tropical Australia,” in Parasitology-Quo Vadit, M.J. Howell, Ed. (6th International Congress of Parasitology, Australian Academy of Science, Canberra, 1986). p. 240.
2. J.C. Chabala et al., J. Med. Chem. 23 (10) 1134-1136 (1980).
3. W.C. Campbell and G.W. Benz, J. Vet. Pharmacol. Ther. 7 (1), 1-16 (1984).
4. D. Thienpont et al., Nature. 209 (5028) 1084-1086 (1966).
5. C. Stelletta et al., Vet. Ital. 40 (4) 635-639 (2004).
6. British Pharmacopoeia Veterinary (2011),“Levamisole injection,” p 170.
7. N. Sangster, F. Riley, and G. Collins, Int. J. Parasitol. 18 (6) 813-818 (1988).
8. S-H.L. Chiu and A.Y.H. Lu, “Metabolism and tissue residues,” in Ivermectin and Abamectin, W. Campbell, Ed, (Springer, New York, 1989), pp. 131-143.
9. K.L. Tyrrell and L.F. LeJambre, Vet. Parasitol. 168 (3-4) 278-283 (2010).
10. J.W. Steel, Vet. Parasitol. 48 (1-4) 45-57 (1993).
11. A. Lifschitz et al., Vet. Parasitol. 86 (3) 203-215 (1999).
12. S.E. Marriner, I. McKinnon, and J.A. Bogan, J. Vet. Pharmacol. Ther. 10 (2) 175-179 (1987).
13. Q.A. McKellar et al., Vet. Parasitol. 39 (1-2) 123-136 (1991).
14. A.H. Atta and M.N. Abo-Shihada, J. Vet. Pharmacol. Ther. 23 (1) 49-52 (2000).
15. J. Echeverría, N. Mestorino, and J.O. Errecalde, J. Vet. Pharmacol. Ther. 25 (2) 159-160 (2002).
16. V. Cerkvenik et al., Vet. Parasitol. 104 (2) 175-185 (2002).
17. S. Barber et al., J. Vet. Pharmacol. Ther. 26 (5) 343-348 (2003).
18. R. Pérez et al., J. Vet. Med. A. Physiol. Pathol. Clin. Med. 53 (1) 43-48 (2006).
19. A.G. Canga et al., Am. J. Vet. Res. 68 (1) 101-106 (2007).
20. T.B. Ndong et al., Vet. Res. Commun. 31 (6) 739-747 (2007).
21. R. Pérez et al., J. Vet. Pharmacol. Ther. 31 (1) 71-76 (2008).
22. H.A. El-Banna et al., Parasitol. Res. 102 (6) 1337-1342 (2008).
23. L. Moreno et al., Res. Vet. Sci. 88 (2) 315-320 (2010).
24. P. Galtier, et al., Ann. Rech. Vet. 12 (2) 109-115 (1981).
25. J.A. Bogan et al., Res. Vet. Sci. 32 (1) 124-126 (1982).
26. P.P. Constantinides et al., Pharm. Res. 11 (10) 1385-1390 (1994).
27. P. Sari, M. Razzak, and I.G. Tucker, Pharm. Dev. Technol. 9 (1) 97-106 (2004).
28. C.M. Chang and R. Bodmeier, Int. J. Pharm. 147, 135-142 (1997).
29. P. Sari, M. Razzak, and I.G. Tucker, J. Liq. Chromatogr. Related. Technol, 27 (2) 351-364 (2004).
30. P. Sari, Isotropic medium chain mono- and diglyceride systems: vehicles for subcutaneous injection in sheep, PhD thesis, University of Otago, (2005).
31. P. Sari, J. Sun, M. Razzak, and I.G. Tucker, J. Liq. Chromatogr. Related. Technol. 29, 2277-2290 (2006).
32. J.J. Garcia et al., J. Liq. Chromatogr. 13, 743-749 (1990).
33. J.L. Du Preez and A.P. Lotter, Onderstepoort J. Vet. Res. 63 (3) 209-211 (1996).
34. A.M. Sahagún et al., J. Vet. Pharmacol Ther. 23 (3) 189-192 (2000).
35. J.W. Tolan et al., J. Chromatogr. 190 (2) 367-376 (1980).
36. S. Croubels et al., J. Mass Spectrom. 37 (8) 840-847 (2002).
37. J.G. Prieto et al., J. Pharm. Biomed. Anal. 31 (4) 639-645 (2003).
38. D. Kitzman, S.Y. Wei, and L. Fleckenstein, J. Pharm. Biomed. Anal. 40 (4) 1013-1020 (2006).
39. H. Akaike, IEEE. Trans. Autom. Control. AC-19 (6) 716-723 (1974).
40. M. Fernández et al., N.Z. Vet. J. 45 (2) 63-66 (1997).
41. R.K. Prichard et al., J. Vet. Pharmacol. Ther. 8 (1) 88-94 (1985).
42. C.E. Lanusse and R.K. Prichard, Vet. Parasitol. 49 (2-4) 123-158 (1993).
43. K. Kakemi et al., Chem. Pharm. Bull. 17 (7) 1332-1338 (1969).
44. P.K.A. Lo et al., Vet. Res. Commun. 9 (4) 251-268 (1985). PT

About the Authors
*Peyami Sari, PhD, is advisor (science), Wellington, New Zealand, Tel: +64 4 9381601, peyamis@yahoo.com;
Jianguo Sun is associate professor, China Pharmaceutical University, Nanjing, P.R. China; Majid Razzak is pharmaceutical consultant, Ancare New Zealand Ltd., Auckland, New Zealand; and Ian G. Tucker is professor of pharmaceutical sciences, School of Pharmacy, University of Otago, Dunedin, New Zealand.
*To whom all correspondence should be addressed.

Article DetailsPharmaceutical Technology
Vol. 39, No. 2
Pages: 42-47, 62
Citation: When referring to this article, please cite it as P. Sari et. al., “In-Vivo Release Studies of Levamisole Phosphate and Ivermectin from an Isotropic Medium-Chain Mono and Diglyceride-Based Formulation Following Subcutaneous Injection in Sheep,” Pharmaceutical Technology39 (2) 2015.

 

 

Newsletter

Get the essential updates shaping the future of pharma manufacturing and compliance—subscribe today to Pharmaceutical Technology and never miss a breakthrough.

Related Videos
© 2025 MJH Life Sciences

All rights reserved.