
- Pharmaceutical Technology-10-02-2007
- Volume 31
- Issue 10
Acceptance Limits for the New ICH USP 29 Content-Uniformity Test
Revisions to the United States Pharmacopeia's (USP) uniformity test require manufacturers to establish new acceptance limits. The authors present their method for calculating acceptance limits consistent with USP's revised content-uniformity test requirements.
As part of the International Conference on Harmonization (ICH) effort, the US Pharmacopeia (USP) has revised General Chapter ‹905›, "Uniformity of Dosage Units." The revision became official on January 1, 2007 through the Sixth Interim Revision Announcement to USP 29–NF 24 in Pharmacopeial Forum (1). The final revised version is the result of many discussions, as well as several evaluations and recommendations by Pharmaceutical Research and Manufacturers of America's (PhRMA) Chemistry, Manufacturing, and Controls Statistics Expert Team (2–4). Bergum published a method for constructing acceptance limits that relates the acceptance criteria directly to multiple-stage tests such as the USP content-uniformity and dissolution tests (5). Bergum and Utter (6, 7) discussed several statistical techniques for evaluating content uniformity. Bergum wrote an SAS program that implements his method (8). The program performs calculations and generates acceptance-limit tables. Since the USP test for content uniformity has been revised, new mathematical calculations and a new SAS program have been developed to generate acceptance-limit tables.
The acceptance limits are defined to provide, with a stated confidence level of (1 – α) 100%, that there is at least a stated probability (P) that a sample taken from a batch would pass the content-uniformity test. For example, one can have 95% confidence that future samples from the batch have at least a 95% probability that they will pass the USP content-uniformity test. For the revised USP test, these tables change with the confidence level (1 – α), the probability bound (P), the sample size (n), and the target content per dosage unit. Confidence levels as well as values for P are typically 50%, 90%, or 95%. A Parenteral Drug Association technical report recommends a 90% confidence level to provide 95% coverage (9). A 50% confidence level can be considered a "best estimate" of the coverage.
Revised content-uniformity test
The revised content-uniformity test is a two-stage test. The uniformity of dosage units for the revised test can be demonstrated by either content uniformity or weight variation. The derivations that follow are based on the individual dosage values obtained by either of the two methods. Let Si be the criteria of passing stage i, i = 1, 2. To perform the content-uniformity test, test 10 dosage units. The requirements are met if S1 is satisfied. Otherwise, test the next 20 units. The requirements are met if S2 is satisfied. Let L1 = 15. The criteria of S1 and S2 are as follows:
S1 = the acceptance value (defined below) of the first 10 dosage units is ≤ L1
S2 = a) the acceptance value of the 30 dosage units is ≤ L1
b) no dosage unit deviates from the calculated value of M (defined below) by more than 25% of M
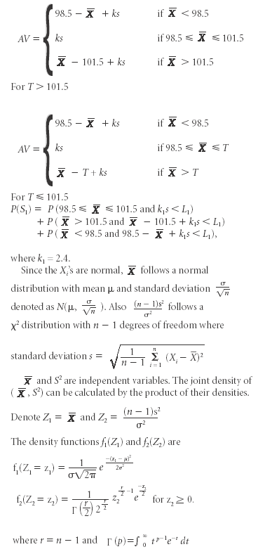
T is the target content per dosage unit at the time of manufacture, expressed as a percentage of the label claim. Unless otherwise specified in the individual monograph, T is the average of the limits specified in the potency definition in the individual monograph. We now define M as follows:
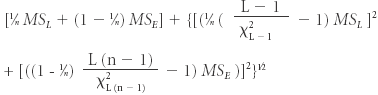
Where k = 2.4 for n = 10; k = 2.0 for n = 30; s is the standard deviation of the observations.
Unless otherwise specified, all the measurements of dosage units and criteria values (such as L1) are in percentage label claim.
Lower probability bound of passing USP
Notice that P(passing USP test)
Assume that the Xi's follow a normal distribution denoted N (μ, σ). Then the values of P(S1) and P(S2) can be calculated as described in the following two subsections.
Computation of P(S1)
Given the definition of AV, it can be seen that:
For T ≤ 101.5
The density function of Z2 is a x2 distribution with n – 1 degrees of freedom and is denoted as x2 (n – 1).
The joint density function is f(z1,Z2) = f1(z1) f2(Z2),
Given the independence of z1 and Z2, P(S1) can be rewritten in terms of z1 and Z2 as:
Computation of P(S2)
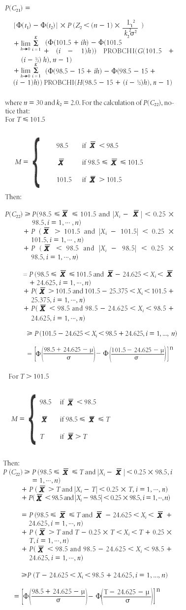
There are two subcriteria in S2, which are denoted as C21 and C22, respectively, as follows:
C21 = AV of the 30 dosage units is less than or equal to L1.
C22 = no unit deviates from the calculated value of M by more than 25% of M.
Using the inequality that, for two events A and B:
P(A and B) = P(A) + P(B) – P(A or B) ≥ P(A) + P(B) – 1
It follows that:
P(S2) = P(C21 and C22) ≥ max {P(C21) + P(C22) – 1, 0}
Since criterion C21 is similar to S1 except for n = 30 and k = 2.0 in the former while n = 10 and k = 2.4 in the latter, the calculation of P(C21) is carried out similarly as in P(S1) with n = 30 and k = 2.0. Therefore:
Therefore, a lower bound on the probability of passing USP requirements is max {P(S1), P(S2)}.
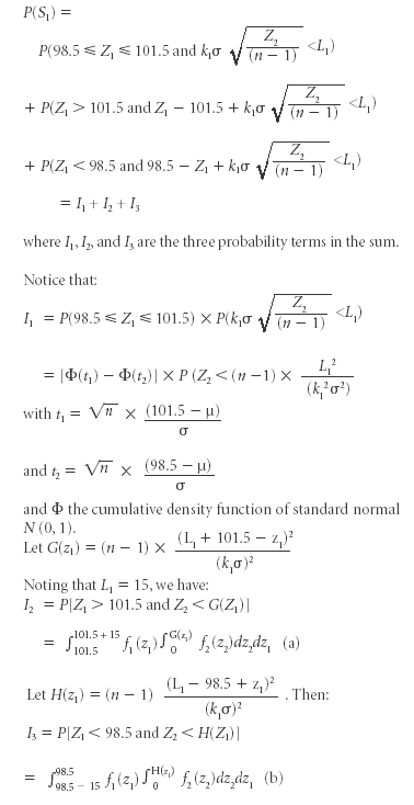
For a given value of μ and a given value of σ, a lower bound (LBOUND) can be determined using the above calculations. Figure 1 shows a contour for the combinations of μ and σ that have an LBOUND of 95% assuming a target, T, of 100. Any combination of μ and σ at or below the contour results represents at least a 95% chance of samples passing the USP content uniformity test.
Figure 1. 95% lower bound on passing the USP test for dose uniformity (target 5 100%).
The "true" probability of passing the USP test can be found by simulation. Table I gives a comparison of the simulated probabilities and the LBOUND calculation.
As can be seen in Table I, the LBOUND calculations are fairly close to the simulated results across various population means and standard deviations.
Table I: Simulated (SIM) versus lower bound (LB) probabilities of passing content-uniformity test.
Constructing acceptance limits
The LBOUND calculation derived in the previous section can be used to develop acceptance limits. This is done by first constructing a simultaneous confidence region for μ and σ from the data. If a 90% confidence region is constructed for μ and σ, and the entire region is below the 95% LBOUND, then at least 95% of the samples tested would pass the USP test with 90% confidence.
Construction of the confidence region depends on the sampling plan used to collect the samples. There are two sampling plans that are generally used when testing blends or final product. In the first plan (Sampling Plan 1), a single test result is obtained from each location sampled. For example, in a blending step, a single test result would be obtained from each of a number of different locations within the blender. In a drum, a single test result might be obtained from the different locations within the drum or from each of a number of different drums. For final tablets, a single tablet may be tested from various time points throughout the tableting run. In the second plan (Sampling Plan 2), more than one test result is obtained from each of the sampled locations. For example, during the tableting operation, if a cup is placed under the tablet press at specific time points during the tableting run, several of the tablets from each cup sample would be tested for content uniformity. Sampling Plan 2 allows for the estimation of between-location and within-location variability.
For Sampling Plan 1, the sample mean and sample standard deviation estimate the population parameters μ and σ. Lindgren gives a simultaneous confidence region for μ and σ (10). The region and the 95% LBOUND are visible in Figure 2, where ULS is the upper confidence limit for σ, and Z is a standard normal critical value.
Figure 2. 95% lower bound with 95% simultaneous confidence region for μ and Ï.
Once the confidence region is constructed, it must fall completely below the specified LBOUND. One can generate an acceptance-limit table by finding the largest sample standard deviation for a fixed sample mean, such that the resulting confidence region remains below the prespecified LBOUND. Note that the only two points to evaluate on the triangle are the two points with the maximum value of σ.
Table II provides an example of an acceptance-limit table. SAS program version 8.2 was written to generate the acceptance limits. The acceptance limit table corresponds to a target value of 100% label claim, a sample size of 30, a 95% confidence region, and a 95% lower bound.
Table II: Acceptance limits for content uniformity.
Suppose that a random sample of 30 tablets is taken from a batch and tested for content uniformity. Suppose the sample mean is 98.4% label claim with a coefficient of variation (CV) of 3.01%. Since the acceptance limit for the CV is 3.85%, the sample passes. This means that with 95% confidence, any set of tablets taken from the batch has at least a 95% probability of passing the USP test.
For Sampling Plan 2, the variance of a single observation is the sum of the between-location and within-location variances. The standard deviation of a single observation, σ, is estimated by calculating the square root of the sum of the between- and within-location variance components. Graybill and Wang give a confidence region for σ (11).
Let:
MSL = mean square between locations from one-way analysis of variance (ANOVA)
MSE = mean square within locations from one-way ANOVA
L = number of locations
n = number of observations at each location
Then the upper confidence limit for the sum of the between-location and within-location variance components (i.e., σ) is:
Given the sample within-location standard deviation (SE) and the sample between-location standard deviation (SM), one computes a confidence interval for σ using the Graybill–Wang method. Since the sample mean and mean squares for the between-location and within-location standard deviations are independent, the overall confidence level (1– α) is the product of the two individual confidence levels for μ and σ. Each individual confidence level is the square root of the overall confidence level (μ is two-sided and σ is upper one-sided). One can generate an acceptance limit table by finding the largest combinations of within- and between-location standard deviations for a fixed sample mean, such that the resulting confidence region remains below the prespecified LBOUND.
Sample content uniformity acceptance limit tables
Tables assume that the target (i.e., the average of potency specification) is 100% and that the sampling plan is to test one dosage unit from each of n separate locations throughout the batch. Passing the tabled limit ensures, with the chosen level of confidence, that there is at least a 95% chance of passing the USP uniformity of dosage units test ‹905› for samples taken from that batch.
James S. Bergum, PhD,* is an associate director in the nonclinical biostatistics department of Bristol-Myers Squibb, One Squibb Dr., New Brunswick, NJ 08903, tel. 732.227.5981,
*To whom all correspondence should be addressed.
Submitted: Feb. 16, 2007. Accepted: Aug. 20, 2007.
References
1. United States Pharmacopeia, "‹905› Uniformity of Dosage Units," Pharmacopeial Forum 32 (6), 1653–1659, 2006.
2. Statistics Working Group of PhRMA, "Content Uniformity: Evaluation of the USP Pharmacopeial Preview," Pharmacopeial Forum 24 (5), 7029–7044, 1998.
3. Statistics Working Group of PhRMA, "Content Uniformity: Alternative to the USP Pharmacopeial Preview," Pharmacopeial Forum 25 (2), 7939–7948, 1999.
4. Statistics Working Group of PhRMA, "Recommendations for a Globally Harmonized Uniformity of Dosage Units Test," Pharmacopeial Forum , 25 (4), 8609–8624, 1999.
5. J.S. Bergum, "Constructing Acceptance Limits for Multiple Stage Tests," Drug Dev. Ind. Pharm. 16 (14), 2153–2166, 1990.
6. J.S. Bergum and M.L. Utter, "Process Validation," in Encyclopedia of Biopharmaceutical Statistics, S.C. Chow, Ed., (Marcel Dekker, New York, 2000), pp. 422–439.
7. J.S. Bergum and M.L. Utter, "Statistical Methods for Uniformity and Dissolution Testing" in Pharmaceutical Process Validation, Robert A. Nash and Alfred H. Watchter, Eds., (Marcel Dekker, New York, 2003), pp. 667–697.
8. J. S. Bergum's SAS Programs, Content Uniformity and Dissolution Acceptance Limits (CUDAL), version: 1.0, validation completed 02/11/02.
9. J.B. Berman et al., "Blend Uniformity Analysis: Validation and in-process testing," Technical Report No. 25, PDA J. Pharm. Sci. Technol. (suppl.) 51, 1997.
10. B.W. Lindgren, "Normal Populations" in Statistical Theory, C. B. Allendoerfer, (Macmillan, New York,1968), 390–391.
11. F.A. Graybill and C.M. Wang, "Confidence Intervals on Nonnegative Linear Combination of Variances," J. Am. Stat. Assoc. 75 (372), 869–873, 1980.
Articles in this issue
about 18 years ago
Advances in Transdermal Technologiesabout 18 years ago
Manufacturing One Trend at a Timeabout 18 years ago
In the Spotlight October 2007about 18 years ago
Pharma Capsulesabout 18 years ago
Functionality-Related Characteristics of Excipientsabout 18 years ago
Sustainable Packaging Resourcesabout 18 years ago
In the Fieldabout 18 years ago
The Application of Quality by Design to Analytical Methodsabout 18 years ago
Avoiding Subprime Contractors and Contractsabout 18 years ago
Agent in Place: Vials and VillainsNewsletter
Get the essential updates shaping the future of pharma manufacturing and compliance—subscribe today to Pharmaceutical Technology and never miss a breakthrough.





