News
Article
Pharmaceutical Technology
Author(s):
A risk-based guard band surrounds a specification limit and is derived from the uncertainty of the reportable value of the analytical procedure, which includes the uncertainty in the reference standard. The author discusses requirements for generating a reportable value and calculating the associated measurement uncertainty.
oonal/E+/Getty Image

In a previous paper (1), a logical approach to risk-based product and raw-material specifications was presented based on an existing International Organization for Standardization (ISO) approach (2) that can be applied easily by the pharmaceutical industry. This risk-based proposal was shown to be consistent with regulatory expectations in other areas such as process validation and manufacturing, computerized system validation, auditing, and supply-chain management.
As all measurement processes are subject to error, the proposed approach depends on the adoption of a risk-based guard band that surrounds a specification limit and is derived from the uncertainty of the reportable value of the analytical procedure, which includes the uncertainty in the reference standard. Recently, an IUPAC (International Union of Pure and Applied Chemistry) and CITAC (Cooperation on International Traceability in Analytical Chemistry) guide, “Investigating Out-of-Specification Test Results of Chemical Composition Based on Metrological Concepts,” has been published (3). One of the coauthors was from FDA. Of particular relevance is the section on metrologically related out-of-specification (OOS) test results and acceptance limits. Kuselman et al. state that if an OOS test result differs from a specification limit in the range of expanded measurement uncertainty, it can be considered as a metrologically related OOS test result because of the uncertainty (3). This is essentially the guard band principle. Furthermore, they recommend that for the interpretation of such OOS test results, acceptance limits set by a testing laboratory, manufacturer, or regulator should be applied according to a EURACHEM/CITAC guide (4).
In this article, the requirements for generating a scientifically sound reportable value (or reportable result) will be discussed as well as methods for calculating the associated measurement uncertainty. This aspect leads directly to the calculation of sound and defendable guard bands associated with reportable values derived from knowledge of the analytical procedure capability. Examples of this guard band approach will be given for an active ingredient assay and an impurity assay of a drug product where a reference standard is used.
The guard band principle for continuous data requires that the normal distribution is valid. Fortunately, there is ample evidence that this is a reasonable assumption (5). In this paper, the application of this principle is primarily to chemical-based testing and not process analytical technology or biological measurements.
It is necessary to evaluate a reportable value at or close to a regulatory or specification limit in terms of the inherent measurement uncertainty. The concept was explored in more detail in a previous paper (1) and is summarized in Figure 1.
Figure 1: Concept of a guard band (±U) around a limit. RV is reportable value.

The difficulty comes in deciding how best to calculate the guard band (±U) for the reportable value derived from an analytical procedure. In principle, the total variance of an analytical procedure
(

) is estimated from the individual variance components using Equation 1:
Equation 1

where

is the within assay variance due to measurement process itself, is the between assay variance due to instrumental and operator effects,

is the assay variance due to the number of replicate samples, and

is the variance introduced by the reference standard used.
Note that the contributions from the manufacturing process and the sampling process itself are explicitly excluded from the calculation of a guard band, which is entirely metrologically driven.
The reportable value (or reportable result) is the outcome of an analytical procedure and is the value that is compared with a specification. The concept of the reportable value (or reportable result) has been defined by FDA as, “The term reportable result as used in this document means a final analytical result. This result is appropriately defined in the written approved test method and derived from one full execution of that method, starting from the original sample” (6). Torbeck defines the concept as, “A reportable value is the end result of the complete measurement method as documented. It is the value compared with specifications” (7). ASTM International is also supportive of the concept of the reportable value, which in their terminology is called the test result (8).
CLICK FIGURE TO ENLARGE Figure 2: Generic sampling and measurement structure for an analytical procedure

Because the contributions from the manufacturing process and the sampling process itself are explicitly excluded from the calculation of a guard band, the sample presented to a laboratory for testing must be adequately representative of the manufactured batch or lot. As the FDA Guidance on Out of Specification Results (6) explicitly requires that all OOS occurrences be subject to a formal documented investigation, it is necessary to define exactly when such occurrences arise from a risk-based perspective. The design of the sampling and measuring procedure has to be known to correctly calculate the standard deviation of the reportable value and hence the guard band. A general scheme is shown in Figure 2. Similar structures have been shown by Torbeck (7) and Dillard (9).
In general, for chemical assays, it is usual to have a single laboratory sample whereas for bioassays n is greater than one, which gives rise to interassay variation that is not considered here. However, for chemical assays, it is the values of k and r that determine the individual variance contributions to the reportable value. We are not concerned here with the total variance but rather that of the reportable value itself.
We can calculate the variance of the reportable value

based upon the design of the procedure using the model in Figure 2 from Equation 2:
Equation 2

Note that we predominantly use reference standards to minimize the effect of any bias, and this equation does not include any terms for the recovery of the analyte. If the bias reflected in recovery (accuracy) of the analytical procedure is analytically significant, then an additional term can be introduced as necessary.
The method of calculation of a rigorous error budget to generate a guard band is available (10). However, a pragmatic error budget approach versus the rigor of the EURACHEM/CITAC Guide QUAM:2012.P1 document (10) is proposed.
A simplified guard-band approach has been proposed because a good estimate of measurement uncertainty can be made by concentrating effort on the largest variance contributions. Current International Conference on Harmonisation (ICH) Q2(R1) validation data should be readily available for all assay procedures, namely repeatability, intermediate precision, and if necessary, recovery (11). Indeed, this requirement is recognized in section 7.1.2 of the EURACHEM/CITAC Guide QUAM:2012.P1 document, which states, “... most of the information needed to evaluate the uncertainty is likely to be already available from the results of validation studies, from QA/QC data and from other experimental work that has been carried out to check the performance of the method” (10).
The evaluation of uncertainty requires consideration of all the possible sources of variability affecting the analytical reportable value. Although a detailed study of this kind may require a considerable effort, it is important that the effort expended should not be disproportionate. In practice, a preliminary study will quickly identify the largest sources of uncertainty, and the value obtained for the combined uncertainty is almost entirely controlled by these major contributions.
If we use the information derived from conventional ICH validation studies, we can estimate

from the intermediate precision SIP and

from the repeatability, Sr. If we assume that any sample to sample variance is small compared with other contributions (i.e., the samples are homogeneous), then Equation 2 becomes Equation 3:
Equation 3

This pragmatic approach is illustrated by way of two examples in the next section.
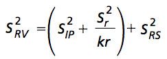
In this example, a tablet product has an API target of 50.0 mg and a registered release specification of 47.5 to 52.5 mg. The analytical procedure specifies that a subsample of 20 tablets is taken from the laboratory sample provided in accordance with the sampling plan and ground to provide a homogeneous powder. The analytical procedure further specifies that two sample preparations from portions of this ground sample are made (k=2) and that the subsequent sample preparations are both measured twice (r=2).
It is known from ICH validation studies that for the API assay, SIP is 1.5% and Sr is 0.90%, and for the certified reference standard, SRS is 0.20%. Hence, we can calculate

using Equation 3:
Equation 3

Hence, our guard band is

=3.16%, where two is the coverage factor, which equates to ±1.58 mg. Therefore, the 95% metrological uncertainty limits of the lower guard band extend beyond the registered specification at each end. This is shown diagrammatically in Figure 3.
Figure 3: Example of a relaxed specification zone for a nonclinically critical API with 47.5 to 52.5-mg release specification. USL and LSL are upper and lower specification limits, respectively. OOS is out of specification

In other words, a registered specification of 47.5 to 52.5 needs to be extended to 46.7 to 53.3 to take into account the metrological uncertainty at 95% confidence. If reportable values fall between the upper registered specification limit (USL)

or lower registered specification limit (LSL)

, these data are out of expectation (OOE) and not OOS. These OOE data need to be investigated. OOS results, however, start when values exceed the USL

or the LSL

. It should be noted, however, that the OOE investigation will not find a root cause if the reportable value observed is due only to metrological uncertainty.
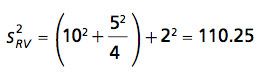
Taking the previous example, assume that there is a specified and identified impurity with a registered specification of 0.50%. It is known that for the impurity, SIP is 10% and Sr is 5% from validation studies at the specification limit. For the certified reference standard, SRS is 2%, and hence,

can be calculated using Equation 3:
Equation 3

Hence, the guard band is

= 21.0%, which equates to ±0.10mg. In this instance, however, we are only concerned with the USL. This stringent specification example is illustrated in Figure 4.
This time, the lower part of the guard band lies within the USL and the OOS investigations should start when reportable values exceed the stringent specification zone, not the registered specification.
A logical approach (1) to risk-based product and raw-material specifications based on an existing ISO approach (2) has been developed to show the application of guard band principles to reportable values for a tablet drug product.
The guard bands are easily calculated from existing validation data and can be used to support a risk-based approach for the specification of APIs or impurities in drug substances and drug products.
The guard band proposals contained in this and the previous paper have not been commented on by regulatory authorities as far as the author is aware. It is hoped that these papers will provide stimuli to this necessary discussion and evaluation process.
The author wishes to thank Dr. R. D. McDowall, J. P. Hammond, Dr. P. Nethercote, and R. M. Bonner for helpful discussions during the development of this paper.
1. C. Burgess, Pharm. Technol., 37 (7) 54-60 (2013).
2. ISO 14253-1:1998 Geometrical Product Specifications (GPS)-Inspection by measurement of work pieces and measuring equipment-Part 1: Decision rules for proving conformance or non-conformance with specifications. ISO, Geneva, 1998).
3. I. Kuselman et al., Pure Appl. Chem., 84 (9) 1939-1971, July, 2012.
4. M. Thompson and R. J. Howarth, Analyst, 105, 1188-1195 (1980).
5. EURACHEM/CITAC Guide, “Use of Uncertainty Information in Compliance Assessment,” (Eurachem, 2007).
6. FDA, Guidance for Industry: Investigating Out-of-Specification (OOS) Test Results for Pharmaceutical Production (Rockville, MD, Oct. 2006).
7. L. D. Torbeck, “Reportable Values for Out-of-Specification Test Results,” Pharm. Technol. Feb. 1999, accessed Sept. 17, 2014.
8. ASTM International, “E 2282-13 Standard Guide for Defining the Test Result of a Test Method,” (ASTM International, 2013).
9. “Statistical Approaches to Specification Setting with Application to BioAssay,” in The Design and Analysis of Potency Assays for Biotechnology Products, Developments in Biologicals vol. 107, R.F. DIllard, F. Brown, and A. Mire-Sluis, Eds. (Karger, 2002) pp. 117-127.
10. EURACHEM/CITAC Guide CG 4, “Quantifying Uncertainty in Analytical Measurement,” 3rd ed., (Eurachem, 2012).
11. ICH, Harmonised Tripartite Guideline, “Validation of analytical procedures: text and methodology,” Q2(R1), (Nov. 2005).
All figures courtesy of the author.
Christopher Burgess, PhD, is an analytical scientist at Burgess Analytical Consultancy Limited UK; tel: +44 1833 637 446; Chris@burgessconsultancy.com; www.burgessconsultancy.com

Get the essential updates shaping the future of pharma manufacturing and compliance—subscribe today to Pharmaceutical Technology and never miss a breakthrough.